Feng Y, Gerber D, Heyden S, et al. Characterizing hydrogel behavior under compression with gel-freezing osmometry[J]. Journal of the Mechanics and Physics of Solids, 2025, 201: 106166.
Feng, Yanxia, et al. "Characterizing hydrogel behavior under compression with gel-freezing osmometry." Journal of the Mechanics and Physics of Solids 201 (2025): 106166.
Feng, Y., Gerber, D., Heyden, S., Kröger, M., Dufresne, E. R., Isa, L., & Style, R. W. (2025). Characterizing hydrogel behavior under compression with gel-freezing osmometry. Journal of the Mechanics and Physics of Solids, 201, 106166.
背景简介
水凝胶作为一种高含水量的多功能材料,在自然界和工业应用中扮演着至关重要的角色。其特性在于能够通过溶胀或收缩来剧烈改变体积,从而使其力学性能(如硬度、渗透性)发生数量级的变化,同时保持其弹性本质。在生物体内,水凝胶构成了大部分软组织,其溶胀能力被用于调控植物组织硬度以及作为驱动器、膜和皮肤等屏障涂层。在工业领域,它们被广泛用作超吸水材料、药物递送载体、伤口敷料以及智能响应性材料等。尽管水凝胶具有广泛的应用前景,但精确表征其在不同含水量下的材料特性仍然是一个巨大的挑战。现有的表征技术普遍存在显著局限性。例如,“排水”压缩测试虽然能有效表征水凝胶,但通常需要毫升级别的大样本量,且为了确保溶剂充分排出以达到平衡,测试通常耗时数小时甚至数天。另一种方法,渗透压测量技术(如膜渗透法和蒸汽压渗透法),同样面临挑战,前者局限于低于5 MPa的渗透压,后者则难以准确测量溶剂的蒸汽压,并且两种方法都需要漫长的平衡时间。这些技术瓶颈造成了在宽范围压缩或溶胀状态下关于水凝胶的系统性实验数据的缺乏,这严重阻碍了对水凝胶本构行为的准确预测和建模。因此,该领域需要一种能够克服上述所有限制的新技术。
成果介绍
(1)开发了一种名为凝胶冷冻渗透测量法(GelFrO)的创新技术,它本质上是冷冻点渗透测量法(FPO)的延伸。该技术的核心原理是利用冰在零下温度对邻近水凝胶施加的温度依赖性渗透压力,即“冷吸作用”(cryosuction),迫使水分从凝胶中流出,导致凝胶收缩。研究通过精确跟踪嵌入荧光示踪纳米颗粒的薄凝胶层(约150 µm)厚度随温度的变化来获取数据。这项技术最具突破性的发现之一是,它在力学上等同于一种对水凝胶的“排水”压缩测试。该方法具有样品体积小(~100 μL)、加载范围大(可达 25 MPa)、测试快速(数分钟完成)的优点。(图1)
.png)
图1 与大块冰/水接触时水凝胶层的平衡相对厚度。上图:冻结阶段示意图。下图:水凝胶层厚度随温度的变化(相对于℃时的厚度)。在0 ℃以上,水凝胶与大块水达到平衡,薄膜厚度仅随温度略有变化。在 0 ℃ 以下,水凝胶与大块冰接触,且随着欠冷度增加而收缩。收缩的原因是冰通过冻吸作用吸出水凝胶中的水分。虚实线表示完全脱水的凝胶厚度,即干聚合物厚度。温度测量的精度为±0.05 ℃,h/h0的误差棒由每个样品在每个温度下三次独立测量的标准偏差给出。误差棒小于标记尺寸
(2)利用GelFrO技术,研究了不同类型水凝胶(包括聚乙二醇二丙烯酸酯(PEGDA)和聚丙烯酰胺(PAM)凝胶)在宽范围压缩下的力学响应曲线,并将其绘制为压缩压力Pext随拉伸比λ的变化关系(图2)。结果显示,所有凝胶在压缩过程中都表现出显著的应变硬化。当拉伸比从1(未压缩状态)减小至0.5以下时,凝胶的切线模量从小于1MPa急剧增加到100MPa。所有凝胶的力学响应都可被一个简单的幂律关系很好地近似,即Pext~λ-m。此外,研究还利用GelFrO实验数据独立表征了水凝胶的混合压力Pmix。在宽范围压缩下,凝胶聚合物网络的弹性应力σelij在大部分区域远小于混合压力Pmix。研究将等效压缩压力近似为混合压力,并绘制了混合压力随聚合物体积分数Φ的变化曲线(图3)。通过将Pext=ρwL(Tm-T)/Tm和λ=h/h0设定为相应数值,从图1的数据中得到这些结果。图3中的曲线显示了对数据进行幂律拟合后的结果。结果再次显示,混合压力与聚合物体积分数之间同样存在清晰的幂律关系,即Pmix=BΦn。这一发现与广泛应用于水凝胶理论的经典 Flory-Huggins 理论预测的曲线存在显著偏差,表明该经典理论在描述水凝胶在大范围脱水状态下的行为时存在局限性。
.png)
图2 水凝胶样品在排水单轴压缩(无侧向收缩)下的力学响应
.png)
图3 PEGDA凝胶(A)和PAM凝胶(B)的降维混合压力随聚合物含量的变化(虚线曲线表示数据与 Flory–Huggins 理论的最佳拟合结果,实线曲线表示幂律拟合结果)
(3)观察到的幂律行为背后的物理机制,研究提出了一个突破性的假说:这种简单的幂律行为是水凝胶聚合物网络具有微观分形结构的重要标志。并进一步提出了幂律指数n与分形维数d之间存在简单的关系:d=3-3/n。研究团队对所有水凝胶样本进行了小角X射线散射(SAXS)实验,以直接探测和表征其微观结构。如果存在分形结构,SAXS 信号的强度I(q) 应该在一定范围内遵循幂律衰减I(q)~q-d 。SAXS 实验结果(图4)成功拟合了描述分形微观结构的理论模型,并从中独立提取了材料的分形维数ds 。随后,将通过GelFrO实验测得的混合压力幂律指数n所计算出的分形维数d0与SAXS直接测得的ds进行了对比。如表1所示,两种完全独立的实验技术所测得的分形维数高度一致,其中三种水凝胶样本的误差甚至小于5%。证明了水凝胶的宏观力学和渗透压性能与其微观分形结构之间存在直接的、可量化的因果关系。
.png)
图4 不同水凝胶样品的小角 X 射线散射 (SAXS) 曲线
表1 水凝胶的性质以及通过对冻结数据进行幂律拟合和对 SAXS 数据进行质量分形拟合得到的参数
.png)
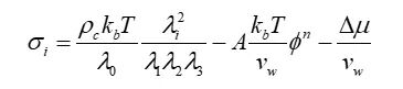
(4)研究提出了一个简化的、半经验半理论的水凝胶本构模型。该模型结合了经典的幻影网络模型(phantom-network model)和新发现的混合压力幂律行为。该模型可以表示为:
.png)
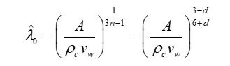
其中,σi是主应力,ρc与交联点间聚合物链的体积成反比,λi是拉伸比,Φ是聚合物体积分数,A和μ是常数,Δμ是水化学势的差异。进一步利用此模型推导出了水凝胶从干燥态到平衡溶胀态的溶胀比λ0的预测公式:
.png)
这一公式清晰地将宏观溶胀行为与微观参数(如分形维数d)联系起来,表明分形维数越小,材料的溶胀能力越强。
致谢
作者感谢 Shaohua Yang、Charlotta Lorenz 博士、Viviane Lütz 博士、Alan Rempel 博士和 Masao Doi 教授提供的有益讨论。感谢 Thomas Weber 博士在 SAXS 测量方面提供的帮助。本研究得到了瑞士国家科学基金会(200021-212066, PZ00P2186041)的资助。本文第一作者:Yanxia Feng(ETH Zürich),本文通讯作者:Robert W.Style(ETH Zürich)。
本期小编 沈文顺(整理)
吴林森(校对)
郭子键(审核)
董乃健(发布)
|