Francesco C, Giovanni M. Fracture and notch mechanics to estimate the uniaxial fatigue limit of plain and severely notched L-PBF AlSi10Mg specimens [J]. Engineering Fracture Mechanics, 2025, 326: 111368.
Fracture Collini, et al. " Fracture and notch mechanics to estimate the uniaxial fatigue limit of plain and severely notched L-PBF AlSi10Mg specimens." Engineering Fracture Mechanics 326 (2025): 111368.
Francesco C., & Giovanni M. (2025). Fracture and notch mechanics to estimate the uniaxial fatigue limit of plain and severely notched L-PBF AlSi10Mg specimens. Engineering Fracture Mechanics, 326, 111368.
背景简介
金属材料的增材制造(AM)固有地会引入缺陷,例如内部孔隙(例如气孔、未熔合缺陷)和明显的表面粗糙度。这些与工艺相关的特征不利于疲劳强度,特别是在高周疲劳状态下,因为它们是应力集中区域,可能会促进裂纹的萌生和扩展。在实际工程应用中,无论是有意设计的(例如,拓扑优化的结果或晶格结构中的节点)缺口,还是由设计约束(例如,轴承座、锁孔、焊件)产生的缺口,都会引入额外的局部应力集中,并可能还会引入应力场的局部多轴性,从而使疲劳评估进一步复杂化。因此,使用缺口力学对含缺口的AM材料进行疲劳极限评估是必要的。
成果介绍
(1)理论推导:
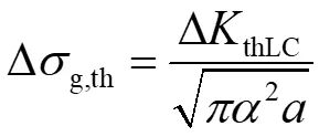
U型缺口的疲劳极限:
.png)
其中,a为裂纹尺寸,α是仅取决于裂纹构件的几何形状和荷载类型的形状因子,σg是一个参考应力,在本研究中将其作为总公称应力,ΔKthLC为长裂纹应力强度因子的阈值范围。
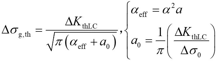
考虑缺陷敏感性可将上述模型修改为:
.png)
其中,αeff是有效裂纹尺寸,a0是材料长度参数。
同样的,V型缺口疲劳极限可表示为:
.png)
其中,αγ是形状因子。
无缺陷的材料疲劳极限:
.png)
其中,σUTS是极限抗拉强度,R是应力比。
(2)图1展示了在光滑试样中观察到的典型断裂表面。可以看出,所有疲劳裂纹均起源于表面或近表面的增材制造缺陷,特别是机械加工过程中暴露的未熔合缺陷(LOF),这是增材制造材料(如AlSi10Mg合金)的典型特征。此外,在中高周疲劳区域,裂纹通常从单个"杀手缺陷"起源(如图1a、b所示),而在低周疲劳区域,裂纹则从多个增材制造缺陷同时萌生(如图1c、d、e、f所示)。值得关注的是,多个裂纹可能从同一缺陷处萌生,并在早期扩展阶段合并为单一疲劳裂纹,这一现象在图1f中清晰可见。
.png)
图1 光滑试样断裂面的SEM图像 a,b)Δσg=120 MPa,Nf=2.45×105 cycles;c,d,e,f)Δσg=150 MPa,Nf=4.7×104 cycles
(3)图2所示的尖锐V型缺口断口表面表明,疲劳裂纹几乎沿着缺口尖端整个圆周区域萌生,与缺口尖端是否存在缺陷无关。值得注意的典型例证是:即使缺口尖端附近存在大型缺陷(如图2b、f所示),在高周疲劳和低周疲劳条件下,裂纹仍会沿整个缺口尖端区域萌生。因此,基于本研究测试试样所涉及缺陷尺寸范围的实际数据,该试验结果表明:疲劳设计可聚焦于尖锐V型缺口及基于切口应力强度因子(N-SIF)的方法,而无需过度关注缺陷的影响。
.png)
图2 尖锐V型缺口断口表面2α=45°:a,b)Δσg=37 MPa,Nf=2.9×104周次;c,d,e,f)Δσg=17 MPa,Nf=7.9×105周次,g,h,i)Δσg=14.5 MPa,R-O 10×106周次,Δσg=15 MPa,R-O 5×106周次,Δσg=16 MPa,R-O 5×106周次,Δσg=22 MPa,R-O 4×105周次
(4)图3a表明,所有光滑试样的理论预测值与试验结果高度吻合。由图3b可以看出,将试验疲劳极限值与理论预测值进行对比。可见理论预测与试验结果之间的偏差低于10%。
.png)
图3 ALM(增材制造疲劳寿命)预测模型的验证结果:a) 光滑试样;b) 光滑试样与尖锐V型缺口试样
致谢
本研究在"MICS(Made in Italy – Circular and Sustainable)"扩展合作计划框架下开展,并获得欧盟"下一代欧盟"计划资助。本文第一作者:Francesco Collini (Università degli Studi di Padova),通讯作者:Giovanni Meneghetti (Università degli Studi di Padova)。
本期小编 华飞龙(整理)
周子尧(校对)
舒 阳(审核)
董乃健(发布)
|