|
Takesue S, Kondo R, Kikuchi S, et al. Effects of surface morphology and residual stress on fatigue strength of A6061-T6 alloy and fatigue strength estimation[J]. International Journal of Fatigue, 2026, 205: 109406.
Takesue, Shogo, et al. "Effects of surface morphology and residual stress on fatigue strength of A6061-T6 alloy and fatigue strength estimation." International Journal of Fatigue 205 (2026): 109406. (): .
Takesue, S., Kondo, R., Kikuchi, S., & Morita, T. (2026). Effects of surface morphology and residual stress on fatigue strength of A6061-T6 alloy and fatigue strength estimation. International Journal of Fatigue, 205, 109406., .
背景简介
铝合金因其轻质特性在汽车与航空航天领域应用广泛,其中A6061-T6合金具备优异的耐腐蚀性、可焊性和比强度,但其疲劳强度相较钢和钛合金等其他结构金属较低。为提高其疲劳性能,喷丸、激光冲击、阳极氧化及镀层等多种表面改性技术已被广泛研究,其中喷丸及空化喷丸主要通过引入残余压应力来提高疲劳强度。然而,现有研究多聚焦于单一因素,表面形貌(如喷丸产生的凹痕)与残余应力对疲劳强度的协同定量影响机制尚不明确。尽管已有研究尝试建立考虑残余应力的寿命预测模型,但在处理具有显著表面形貌特征的试样时,预测结果仍存在较大分散性。
因此,为精确量化并协同优化这两种因素,本研究提出了一种创新方法。通过有意颠倒常规工艺顺序,即先进行抛光或喷丸再进行T6处理,从而制备出残余应力和硬度相同但表面形貌不同的试样,以此独立研究表面形貌的影响。基于此,研究构建了疲劳极限图,系统分析了表面凹痕尺寸与残余应力的复合作用机制。最终,提出并验证了一种综合考虑表面形貌(凹痕尺寸)和残余应力的疲劳强度估算方法。
成果介绍
(1)为单独研究表面形貌对A6061-T6合金疲劳强度的影响,本研究有意颠倒了传统“T6热处理后喷丸”的工艺顺序,改为先抛光或喷丸,再进行T6热处理(流程见图 1)。后续的T6热处理通过沉淀硬化强化试样的同时,消除了先前机械处理引入的残余应力和加工硬化。由此,成功制备出残余应力和硬度相同,但表面形貌(凹痕尺寸)不同的系列试件(SA、MA、LA系列)。图 2显示了由激光显微镜获得的立体显微镜图像和表面轮廓,展示了各种试件的表面外观,其中SA系列表面光滑,而MA和LA系列则因喷丸颗粒的冲击形成了明显凹痕,使用更大喷丸颗粒处理的LA样件显示出更大尺寸的表面凹痕。
.png)
图1 试件制备步骤的流程图
.png)
图2 用体式显微镜和激光显微镜获得的各试件的表面外观和轮廓
(2)图 3所示弯曲疲劳试验结果表明,A6061-T6合金的疲劳强度随其表面凹痕尺寸的增大而显著降低,并且断口SEM观察证实了疲劳裂纹均萌生于喷丸产生的凹痕处。进一步分析发现,A6061-T6合金的疲劳强度与表征短波长特征的粗糙度参数Ra相关性较弱,但与表征长波长特征的波纹度参数Wa的相关性较强。并且研究发现,尽管大凹痕会导致更高的应力集中因子Kt,但疲劳强度与Kt并无显著关联,而与裂纹萌生处的凹痕面积area呈负相关。这一发现证实,影响合金强度的关键形貌因素是凹痕的实际尺寸,而非其几何形状引起的理论应力集中系数。
.png)
图4 A6061-T6合金试件在107次循环疲劳强度与 (a) 算术平均粗糙度Ra和 (b) 算术平均波度Wa的函数关系
.png)
图5 A6061-T6合金试件在107次循环疲劳强度与 (a) 应力集中系数Kt和 (b) 疲劳裂纹萌生部位面积area的函数关系
(3)基于试验数据构建了量化表面形貌和残余应力对疲劳强度复合作用的疲劳极限图(如图 6所示),分析表明:γ点为疲劳强度估计线和屈服极限在σm+σr为负值区域的交点,其对应的值表示最大可达疲劳强度,且随表面凹痕尺寸减小而增加,即大凹痕会削弱残余应力的效果并加剧应力集中。残余应力对合金疲劳强度的影响随凹痕尺寸的减小而增大,换言之,光滑表面更能充分利用残余应力来提升疲劳性能。
.png)
图6 考虑表面形貌和残余应力的(a) SA、(b) MA和(c) LA系列疲劳极限图
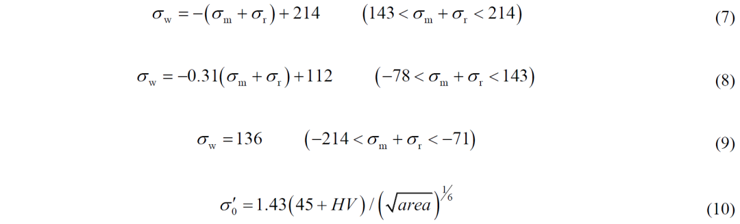
基于疲劳极限图提出了能预测给定表面形貌和残余应力状态下疲劳强度的估计方程(式(1)-(9))。为验证该方法的可靠性,将计算结果与经典的√area 模型(式(10))预测值进行了对比,结果表明,对于MA和LA系列,两种方法得到的疲劳强度估算值偏差仅为5%和9%,证明喷丸产生的凹痕可被视为“小缺陷”,其尺寸可通过√area参数量化并用于强度预测。
对于SA系列试件:
.png)
对于MA系列试件:
.png)
对于LA系列试件:
.png)
致谢
作者感谢SHIMANO公司和JSM材料疲劳表面改性分会提供技术支持,感谢来自轻金属教育基金会的资助,同时也感谢Sota Kawaguchi(京都工业大学研究生院)在试验中的协助。本文第一作者和通讯作者:Shogo Takesue(Kyoto Institute of Technology)。
本期小编:罗凌颖(整理)
周子尧 (校对)
舒阳 (审核)
董乃健 (发布)
|